0 (258) 613-1020 Talep ve Öneri İletişim
T. C. Tavas Beldiyesi
Türkçe
  • ANASAYFA
  • BAŞKAN
    Başkanın Özgeçmişi Başkanın Mesajı Başkanın Resimleri
  • KURUMSAL YAPI
    Belediye Başkan Yardımcılarımız Meclis Üyeleri Müdürlüklerimiz Eski Başkanlar Muhtarlar
  • GÜNCEL
    Meclis Kararları Haberler Duyuru / İlanlar Faaliyet Rapoarları
  • İLÇEMİZ
    Mahalleler Tavas Zeybeği Ekonomi Gezilecek Yerler Tarihçesi Coğrafyası
  • PROJELERİMİZ
    Tamamlanan Projelerimiz Devam Eden Projelerimiz Planlanan Projelerimiz
  • HİZMETLER
    Emlak Beyanı Yapı Kullanım İnşaat Ruhsatı Numarataj Tarım ve Hayvancılık Destekleme ve Faaliyet İşyeri Açma Ruhsatı Evlilik Hizmetleri Sevgi Eli
  • GALERİ
    Foto Galeri Video Galeri
  • İLETİŞİM
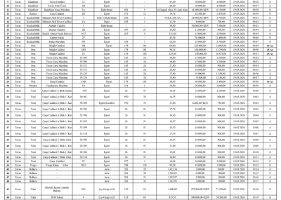
Anasayfa / 19.03.2026 TARİHLİ TAŞINMAZ KİRA İHALESİ
Geri
HIZLI MENU

Hızlı Menü

  • Başkanın Özgeçmişi
  • Başkanın Mesajı
  • Başkanın Resimleri
  • Eski Başkanlar
  • Meclis Üyeleri
  • Haberler
  • Duyuru / İlanlar
  • Tamamlanan Projeler
  • Devam Eden Projeler
  • İmar İşleri
  • Yapı Kullanım
  • İnşaat Ruhsatı
  • Vergi İşlemleri
  • İşyeri Açma Ruhsatı
  • Evlilik Hizmetleri
  • Etkinlikler
  • Foto Galeri
  • Video Galeri
  • İletişim Bilgilerimiz

19.03.2026 TARİHLİ TAŞINMAZ KİRA İHALESİ

19.03.2026 TARİHLİ TAŞINMAZ KİRA İHALESİ
10 Mart 2026, 17:40 203 Okuma

Fotoğraf Galerisi

Talep ve Öneri

0 (258) 613-1020 Talep ve Öneri İletişim
BAŞKAN
  • Başkanın Özgeçmişi
  • Başkanın Mesajı
  • Başkanın Resimleri
KURUMSAL YAPI
  • Eski Başkanlar
  • Meclis Üyeleri
  • Belediye Personeli
İLÇEMİZ
  • Mahalleler
  • Köyler
  • Ekonomi
  • Gezilecek Yerler
  • Tarihçesi
  • Coğrafyası
DIŞ BAĞLANTILAR
  • E-DEVLET
  • İLAN.GOV.TR
  • WEBMAİL
  • KVKK
E-BÜLTEN

Güncel duyurulardan ve gelişmelerden haberdar olmak için kayıt olun.

© Copyright 2023. Tüm hakları "Tavas Belediyesine"sine aittir.